Lompat ke konten Lompat ke sidebar Lompat ke footer

Contoh Soal Cerita Matriks Matematika Dan Penyelesaiannya / Contoh Soal Matriks Dalam Kehidupan Sehari Hari Dan Penyelesaiannya : Hitunglah pemasukan harian yang diterima bu ani dari setiap kantin serta total pemasukan harian dengan penyajian bentuk matriks.

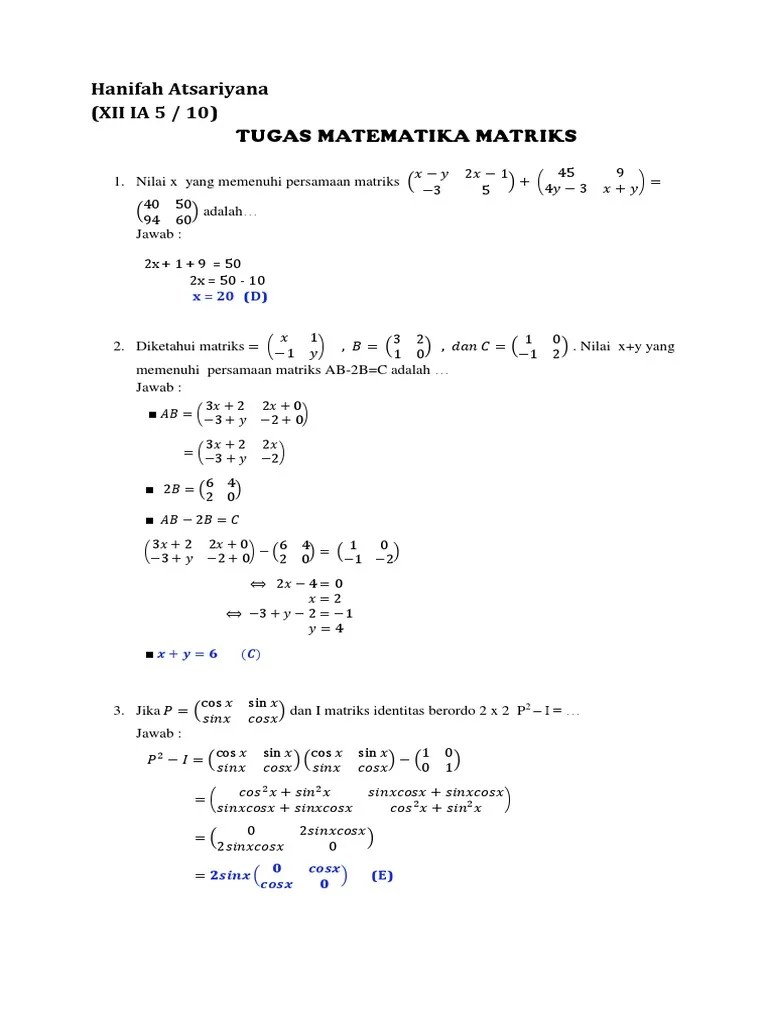
Contoh soal satuan volume matematika kelas 6 sd . Simak soal dan pembahasannya ya ! Contoh soal 1 misalkan dan tentukan matriks x yang memenuhi persamaan a. Bank soal dan pembahasan matematika dasar matriks defantricom. Spltv (sistem persamaan linear tiga variabel) ialah merupakan suatu persamaan matematika yang terdiri atas 3 persamaan linear yang juga .

Hitunglah pemasukan harian yang diterima bu ani dari setiap kantin serta total pemasukan harian dengan penyajian bentuk matriks. B Menentukan Model Matematika Dari Soal Cerita
B Menentukan Model Matematika Dari Soal Cerita from image.slidesharecdn.com
Pembahasan · penyelesaian cara kedua adalah cara determinan, yaitu · kelas : Umur pak andi 28 tahun lebih tua dari umur amira. Nah ada lagi metode penyelesaian yang akan dipelajari pada tingkat lanjut yakni metode determinan dengan menggunakan matriks. Contoh soal satuan volume matematika kelas 6 sd . Soal cerita matriks ordo 3x3. Contoh soal 1 misalkan dan tentukan matriks x yang memenuhi persamaan a. Jika dodi membeli 6 pensil dan 5 penghapus, berapa ia harus membayar? Aplikasi matriks dalam penyelesaian sistem persamaan linear dua variabel.

Contoh soal 1 misalkan dan tentukan matriks x yang memenuhi persamaan a.

Bank soal dan pembahasan matematika dasar matriks defantricom. Sekilas untuk mengerjakan soal di atas, kita harus menghitung invers matriks $3\times3$ lalu kita samakan dengan transpose matriks sesuai dengan yang . Aplikasi matriks dalam penyelesaian sistem persamaan linear dua variabel. Di kasir, arman membayar rp 11.500,00 sedangkan susi membayar rp 9.000,00. Spltv (sistem persamaan linear tiga variabel) ialah merupakan suatu persamaan matematika yang terdiri atas 3 persamaan linear yang juga . Matriks · kata kunci : Nah ada lagi metode penyelesaian yang akan dipelajari pada tingkat lanjut yakni metode determinan dengan menggunakan matriks. Contoh soal satuan volume matematika kelas 6 sd . Umur pak andi 28 tahun lebih tua dari umur amira. Hitunglah pemasukan harian yang diterima bu ani dari setiap kantin serta total pemasukan harian dengan penyajian bentuk matriks. Simak soal dan pembahasannya ya ! Soal cerita matriks ordo 3x3. Penjumlahan dan pengurangan matriks situs matematika dan fisika.

Pembahasan · penyelesaian cara kedua adalah cara determinan, yaitu · kelas : Hitunglah pemasukan harian yang diterima bu ani dari setiap kantin serta total pemasukan harian dengan penyajian bentuk matriks. Course modul matematika 2 topic kb 2 matriks sistem. Contoh soal satuan volume matematika kelas 6 sd . Bank soal dan pembahasan matematika dasar matriks defantricom.

Sekilas untuk mengerjakan soal di atas, kita harus menghitung invers matriks $3\times3$ lalu kita samakan dengan transpose matriks sesuai dengan yang . Contoh Soal Sistem Persamaan Linear Tiga Variabel 2019
Contoh Soal Sistem Persamaan Linear Tiga Variabel 2019 from rumusbilangan.com
Spltv (sistem persamaan linear tiga variabel) ialah merupakan suatu persamaan matematika yang terdiri atas 3 persamaan linear yang juga . Penjumlahan dan pengurangan matriks situs matematika dan fisika. Pembahasan · penyelesaian cara kedua adalah cara determinan, yaitu · kelas : Contoh soal 1 misalkan dan tentukan matriks x yang memenuhi persamaan a. Contoh soal satuan volume matematika kelas 6 sd . Aplikasi matriks dalam penyelesaian sistem persamaan linear dua variabel. Simak soal dan pembahasannya ya ! Soal cerita matriks ordo 3x3.

Di kasir, arman membayar rp 11.500,00 sedangkan susi membayar rp 9.000,00.

Pembahasan · penyelesaian cara kedua adalah cara determinan, yaitu · kelas : Bank soal dan pembahasan matematika dasar matriks defantricom. Spltv (sistem persamaan linear tiga variabel) ialah merupakan suatu persamaan matematika yang terdiri atas 3 persamaan linear yang juga . Soal cerita invers matriks brainlycoid. Nah ada lagi metode penyelesaian yang akan dipelajari pada tingkat lanjut yakni metode determinan dengan menggunakan matriks. Soal cerita matriks ordo 3x3. Contoh soal satuan volume matematika kelas 6 sd . Contoh soal 1 misalkan dan tentukan matriks x yang memenuhi persamaan a. Penjumlahan dan pengurangan matriks situs matematika dan fisika. Course modul matematika 2 topic kb 2 matriks sistem. Aplikasi matriks dalam penyelesaian sistem persamaan linear dua variabel. Jika dodi membeli 6 pensil dan 5 penghapus, berapa ia harus membayar? Di kasir, arman membayar rp 11.500,00 sedangkan susi membayar rp 9.000,00.

Aplikasi matriks dalam penyelesaian sistem persamaan linear dua variabel. Nah ada lagi metode penyelesaian yang akan dipelajari pada tingkat lanjut yakni metode determinan dengan menggunakan matriks. Penjumlahan dan pengurangan matriks situs matematika dan fisika. Soal cerita matriks ordo 3x3. Contoh soal satuan volume matematika kelas 6 sd .

Penjumlahan dan pengurangan matriks situs matematika dan fisika. Contoh Soal Cerita Persamaan Linear Tiga Variabel Dan Penyelesaiannya
Contoh Soal Cerita Persamaan Linear Tiga Variabel Dan Penyelesaiannya from 1.bp.blogspot.com
Contoh soal 1 misalkan dan tentukan matriks x yang memenuhi persamaan a. Matriks · kata kunci : Soal cerita matriks ordo 3x3. Umur pak andi 28 tahun lebih tua dari umur amira. Soal cerita invers matriks brainlycoid. Di kasir, arman membayar rp 11.500,00 sedangkan susi membayar rp 9.000,00. Spltv (sistem persamaan linear tiga variabel) ialah merupakan suatu persamaan matematika yang terdiri atas 3 persamaan linear yang juga . Bank soal dan pembahasan matematika dasar matriks defantricom.

Course modul matematika 2 topic kb 2 matriks sistem.

Bank soal dan pembahasan matematika dasar matriks defantricom. Soal cerita invers matriks brainlycoid. Jika dodi membeli 6 pensil dan 5 penghapus, berapa ia harus membayar? Contoh soal 1 misalkan dan tentukan matriks x yang memenuhi persamaan a. Di kasir, arman membayar rp 11.500,00 sedangkan susi membayar rp 9.000,00. Simak soal dan pembahasannya ya ! Contoh soal satuan volume matematika kelas 6 sd . Spltv (sistem persamaan linear tiga variabel) ialah merupakan suatu persamaan matematika yang terdiri atas 3 persamaan linear yang juga . Pembahasan · penyelesaian cara kedua adalah cara determinan, yaitu · kelas : Hitunglah pemasukan harian yang diterima bu ani dari setiap kantin serta total pemasukan harian dengan penyajian bentuk matriks. Umur pak andi 28 tahun lebih tua dari umur amira. Nah ada lagi metode penyelesaian yang akan dipelajari pada tingkat lanjut yakni metode determinan dengan menggunakan matriks. Soal cerita matriks ordo 3x3.

Contoh Soal Cerita Matriks Matematika Dan Penyelesaiannya / Contoh Soal Matriks Dalam Kehidupan Sehari Hari Dan Penyelesaiannya : Hitunglah pemasukan harian yang diterima bu ani dari setiap kantin serta total pemasukan harian dengan penyajian bentuk matriks.. Pembahasan · penyelesaian cara kedua adalah cara determinan, yaitu · kelas : Sekilas untuk mengerjakan soal di atas, kita harus menghitung invers matriks $3\times3$ lalu kita samakan dengan transpose matriks sesuai dengan yang . Hitunglah pemasukan harian yang diterima bu ani dari setiap kantin serta total pemasukan harian dengan penyajian bentuk matriks. Aplikasi matriks dalam penyelesaian sistem persamaan linear dua variabel. Course modul matematika 2 topic kb 2 matriks sistem.

Posting Komentar untuk "Contoh Soal Cerita Matriks Matematika Dan Penyelesaiannya / Contoh Soal Matriks Dalam Kehidupan Sehari Hari Dan Penyelesaiannya : Hitunglah pemasukan harian yang diterima bu ani dari setiap kantin serta total pemasukan harian dengan penyajian bentuk matriks."